¡u¤@Ãä¤@°ê¡v¹ï¡u¤@­Ó¤¤°ê¡v¡B¡u¥Á¥D§ï­²¡v¹ï¡u¶Âª÷´_¹@¡v¡A¡u¬Û«H¥xÆW¡v¹ï¡u°Û°I¥xÆW¡v¡C

  

´ÂÅv¶Qªº¯u­±¥Ø

³s®a¦b¬ü¯µ±K¸m²£¡@Á×¥Ó³ø


º¡¸£³U©U§£ªº³s¾Ô¤§¤l


¡@³s³Ó¤å¤º¤ßªº¦I¥£¤@±Ú¨ì©³¬O½Ö¡H¬O¹ï©¤ªº¤¤°ê¤H¡H¤º¤ß¤@ª½·QµÛ13»õ¤¤°ê¤H¤£®ø·À»}¤£¦¨®a¡H³o¦b³s¾Ô¨Ó»¡¥i¬O¥N»x¤j±ø¤F¡C­Y¬O¤º¤ßªº¦I¥£¤@±Ú¬O¬Y³¡¥÷¥xÆW¤Hªº¸Ü¡A¨º»ò¡A¹ï³o³¡¥÷¥xÆW¤H¥i¬O¨Æ¤j¤F¡A¦]¬°¡A¸U¤@Åý¥L¦¨¬°Á`²Îªº¨à¤lªº¸Ü¡A¥L¾ã¤Ñ·Qªº´N¬O®ø·À¡u¦I¥£¡v¡A¨º¯u·|¥s¤H¾á¤ß¥xÆW¦^¨ì½±¤ó¤÷¤l®É¥N¡A¤£ª¾¹D¤°»ò®É­Ô±o§¤¨c©Î³Q¬åÀY¡I


³s¾ÔÁô°Î©Ð«Î¬O¿³²¼®×½ª©


¡@¥ßªk°|¥Á¶iÄҹΤC¤éÁ|¦æ°OªÌ·|¡A¤Þ­z³ü¶g¥Z³ø¾É¡A«ü°ê¥ÁÄÒ¥D®u³s¾Ô¦³¤@µ§¦b¬ü°êªi¤h¹y«¢¦ò¤j¾Çªþªñ¡B³s¤èÞ·¦W¤Uªº©Ð²£¡A¤Q¦~¨Ó¥¼´¿¨Ìªk¥Ó³ø¡A¤]¥¼¦b¨ä¤é«e¤½¥¬ªº°]²£¤¤¡A³s¾ÔÁÙ¥H´À¤l¤k¦b®ü¥~¸m²£¤è¦¡²æ²£¡A§åµû³s¾Ô¤½¥¬°]²£¥u¦³¤Q¤T»õ¤¸¬O¤½µM»¡ÁÀ¡BÁô°Î°]²£¡Bª¾ªk¥Çªk¡AµL²§¿³²¼®×ªºÂ½ª©¡C


¯uªº¨S¦³­ÞªP³s¾Ô


1993.07.16 ¤¤°ê®É³ø
¸ê¥»®aÂø»x½Õ¬d°]²£¤Q»õ¥H¤WµØ¤H
´I»¨½²¸UÀMÂͳsº]­º ³s¾Ô­º«×¤Wº]


µo²{¥t¤@­Ó§d»ñ¢w¢w¢w³s¶®°ó


¡@¥@¶¡ªº¤½¹D±`¬O¤£¥­ªº¡A³s®a¾aµÛ°ê¥ÁÄÒªº¤O¶q¡A³Ì«á¥úºa¦^¨ì¥xÆW¡A¤G¤G¤K¤§®É¡A¤Z¬O·í¦~©è¨î³s¾î¾~¤ù½×ªº¥xÆWºë­^¡A²ö¤£¾D¨ì¯E§T¡A©Î¦º©Î°k¡C³s¾_ªF¤£¶È³ø¤F¤³¡A¤]¤@¤â¶}³Ð³s®aªº°ò·~¡C


¥H³s¾î¬°¨Ò¡GªR½×¶°Åé°O¾Ðªº§Î¦¨¡BÅܾE»P·N¸q


¡@¾Ô«á¥@¥Nªº°ê¤H¹ï³s¾îªº°O¾Ð¬O¡m»OÆW³q¥v¡n§@ªÌ¡B·R°ê¥v®a¡B¥Á±Ú¸Ö¤H¡B¦³¸`¾Þªº»OÆW¥v§@ªÌ¡B´I¥Á±Ú¤j¸qªº¾ÇªÌµ¥µ¥¤£¤@¦Ó¨¬¡C¦ý¬O¡A«Å´­¹Lµ{©ÎÁô¿Ð´­µ½¡A©Î·¸¬üªþÄR¡A©Î­I®¯¥v¹ê¡A­P¨ä§Î¶H¤£Â_¿±µÈ¡AÅkµMµL¼w¤£¨ã¡AµL¥\¤£»P¡AµL¨¥¤£¥ß¡A³y¯«²ª¸ñ©úÅã¡C


¿Ë¤¤¬£¡B§º³s¬£Åܽժº°ê¼y



¡u­JÀAÀܸU·³¡I¡v


¡@10¤ë10¤éªxÂŦb°ê¤÷¬ö©ÀÀ]¼s³õÁ|¦æªº°ê¼y¤ÉºX¨å§¡A·í¤j®a©I¤f¸¹®É¡A¦³¤H³º¤j³Û¡u­JÀAÀܸU·³¡v¡A¦b³õªº©Ò¦³ªxÂŬF«È¨S¦³¤@¤H¥X­±¨î¤î¡A¤j®a³£¸Ë§@¨SÅ¥¨ì¡C


§º·¡·ì³Û¥X¡u§º³s°t¡v


¡@ªxÂŬ°¤F¹F¨ì¤Àµõ°ê®a»{¦P¤Î¿ïÁ|³y¶Õ¡A©~µM¡u¹çº~¤Àµõ¡v¶]¨ì¹Å¸q¦Û¦æ·d©Ò¿×ªº¡u°ê¼y¬¡°Ê¡v¡Aµ²ªG¡A§º·¡·ì«oÅS¥X°¨¸}°ª³Û¡u§º³s°t¡v·í¿ï¸U·³¡C

¥Áµø10/11¡G¡u§º³s°t¡v


¡y¤ä«ù§º³s°t¡z¡B¡y­JÀAÀܸU·³¡z¡@¡þ¦Ë¤¤¥b§L½Ã


¡@³Ìªñ§ÚªºÂŦâªB¤Í­Ì¦b¨¥½Í¶¡Á`Åã¥X´X¤ÀµJ¼{¡C§Úªº²Î´C°OªÌªB¤Í­Ì¤]¤£¦A¨º»ò·N®ð­·µo¡C¦]¬°¹qµø¤W¦³¤H³Û¤F¨â¥y¸Ü¡C²Ä¤@¥y¸Ü¬O¡A¡y­JÀAÀܸU·³¡z¡A²Ä¤G¥y¸Ü¬O¡A¡y¤ä«ù§º³s°t¡z¡CÅ¥°_¨Ó¡A³o¨â¥y¸Ü©ã°_Ãý¨Ó¤]ºâ®®¦Õ....


¶Â¹D³£¬O³o¼Ëªø¤jªº


¡@¼B¨¹¤Í©R®×¨º¦~¡A¡m¤µ©P¥Z¡n§@¤F­Ó±MÃD¡G¡u¶Â¹D³£¬O³o¼Ëªø¤jªº¡v¡A°¨«D¥Õ½§ä¸ê®Æ¡A¥´¶}±MÃDªº¸ó­¶´v­¶¡A»á·P¾_¾Ù¡C¤£»Ý­n¬Ý¤º®e¡AÅý¹Ï¤ù¦Û¤v»¡¬G¨Æ¡A«Ü¦h¨Æ±¡³£¥i¥ß§Y¤FµM©ó¤ß¡A¯S¤©Âà¸ü¥HÅWŪªÌ¡A¤£ª¾±z¬O§_¤]¦³©Ò¤FµM¡H¡]ÂI¹Ï©ñ¤j¡^


³¡ªø«ö¼¯ºâ¤°»ò¡A³s¾Ô¤~¼F®`¡I


¡@³o¬O¤@¬qŪªÌ´£¨Ñªº°Å¿è¼v¤ù¡A¨ú§÷¦Û¤T¥ß¥xªº·s»D¡A¦]¬°®É¤é¤w¤[¡B¤S¨ü­­©ó°¼¿ý³]³Æ¡A©Ò¥H¡Aµe½è¸û®t¡C¡]·s»D­I´º»¡©ú¡G³s¾Ô·í®É¬O°ÆÁ`²Î¡A¤]¬OÁ`²Î­Ô¿ï¤H¡^

¬ÛÃö°Q½×

³s¾Ô¹µ©ú²´¤H«ö¼¯¸gĵ¤è¬d½r¶¡±µÃÒ¹ê

¤@­Ó´À³s¾Ô·i©R§U¿ïªº´CÅé°Q½×ª©


½ÖÅý¬F©²­I­t¥¨ÃB­t¶Å¡Hºâ²M·¡¡I


¡@§º·¡·ì¬Ùªø¥ô¤º¡A¬F©²¼·¤F¤@¥ü3026»õ7¤d¸Uµ¹¬Ù©²¡Aµ²ªG§º·¡·ì·í¤F¥|¦~¬Ùªø¡A°£¤Fªá¥ú¬Ù©²¹wºâ¥H¥~¡A¨ø¥ô«á³ºµMÅý¬Ù©²ÃB¥~¤S­t¶Å8000»õ¡A¨«¨ì­þùØ¿úÅx¨ì­þùØ¡A¯uªº¦³°µ¨Æ¡A¦ý¬O¡A«o¬Oªá¥þ¥Á¤T­¿¥H¤Wªº¿ú¥h°µ¦P¼Ëªº¨Æ¡A¾É­P¥þ°ê­t¶Å°ª¹F¤G¥ü¥|¤d»õ¡C

¬ÛÃö¤å³¹


§º¦Ñ¦³°÷©e©}¡A³s¦Ñ¦³°÷³±


·Æ¹«¦b¹Ï¤WÂI¿ï¬Ý¼v¤ù

¡@·Q¤£¨ì°ó°ó¤@­Ó¨k¤H¡AÁÙ¬O¤@­ÓÄÒ¥D®u³á¡A©~µM¤]¦³¡u®Q®a¡v¥i¦^¡H
¡@·Q·í¦~¡A§º·¡·ì¦Ñ¥ý¥ÍÀ³¸Ó¤]¬O¤Q¨¬­·¥úªº¡u¥X¶ù¡vÅo¡H
¡@§A¬Ý¬Ý¡A³s¾Ô¦Ñ¥ý¥Í¥i¬O¤Q¤À³±ÀI³á¡Aªí­±·qµÛªG¥Ä¡A«o¤´§Ô¤£¦í§â¡u¤¤«ü¡v³£¤ñ¥X¨Ó¡A
¡@³oºØÅwªï¤§·N¡A¥i¯u·N¦b¨¥¥~¡AÃø©Ç¤¤¤Ñªº°OªÌ­n»¡¡u¤³¬O·sªº¡A«ë¬Oªº¡v¡C


³s¾Ô¨â¥N¦p¦ó²Ö¿n50»õ°]´I


¡@³s¾Ôªº¤÷¿Ë±q¤¤°êªð¥x¡A¦¨¬°Åv¶É¤@®Éªº±µ¦¬¤j­û¤§¤@¡A³Q¥Á¶¡¨p¤UºÙ¬°¡u¥b¤s¡v¤Hª«¡]¶]¨ì¤¤°ê¡B¤S¦^¥xÆWªº¥xÆW¤H¡^¡A¤@ª½¾á¥ô¤½Â¾¡F³s¾Ô¤]¬O¶i¥X©x³õ¤Î¾Ç¬É¡A¥¼´¿¸g°Ó¡C¨â¥N³£¥ô¤½Â¾¡A³º¯à²Ö¿n¤jµ§°]´I¡A¨Ã¦W¦C¥xÆW¤Q¤j´I»¨¤§¤@......


³s¾Ôªº°ê®a»{¦P¡B°]²£¦¨Á¼


¡@±q¾ú¥v¸ê®Æ¨Ó¬Ý¡A³s¶®°ó³o¤@¯ß¤T¥N¦b¡u°ê®a»{¦P¡v©M¡u°]²£¨Ó·½¡v¤W¦ü¥G³£¦³¨Ç¾ú¥v¤WªººÃ°Ý¥²»Ý¼á²M©M­±¹ï¡F³s¾Ô¦pªG·Q¦b©ú¦~°ó°ó¥¿¥¿Ä¹±o¿ïÁ|¡A³o¨ÇºÃ°Ý³£¥²»Ý¤@¤@Âç²M¡A©ZµM­±¹ï¡Aµ¹¥xÆW¾ú¥v©M¤H¥Á¤@­Ó¥æ¥N¡C

¬ÛÃö¤å³¹

¬q©y±d¡G³s¾Ô´I¥Ò¤@¤èÁÙ³g«K©y

¥X¥ô¥_°Ó»È¸³¨Æ¡A³s®a¨¤¦âÅÜÅÜÅÜ


³s§º­A¬FªvÄF³N¡A¥ß³õ¤S«æÂàÅs


¡@³s§º¨â¦ì¦Ñ¥ý¥Í¤Î¨äÀ°µÄ¬FÄÒºD©Ê¦a¬°¤Ï¹ï¦Ó¤Ï¹ï¡A¤W¶g¦Û¥H¬°Áo©úªº¦b¡u¤½§ë¡vijÃD¤W§@¤F180«×ÂàÅÜ¡A¥Ñ¤Ï¹ïÅܦ¨ÃÙ¦¨¡A¥ÑÃÙ¦¨¶i¦Ó¬°¤ä«ù¥ô¦óijÃD¤½§ë¡A§ó¥ø¹Ï¥H¡u²Î¿W¤½§ë¡v±N«ó¬F©²¤@­x¡C

¡@µ²ªG¡A¥L­Ì­Ç¦ì¦Ñ¥ý¥Í¤£¦ý¤£´±±µ¨ü¥»³ø¬D¾Ô¥h°Ñ¥[®Ö¥|¤½§ë¶i¯¸Á`²Î©²¡AÁÙ¦b¥|¤é¥X²{¥ß³õ«æÂàÅs¡A¬ðµM¨M©w¤£¤ä«ù¡u²Î¿W¤½§ë¡v¡C

¡@¤Q¨¬ªº¬F«È¼LÁy¡A¤Q¨¬ªº¬FªvÄF³N¡A¦b¤£¨ì¥b­Ó¤ëªºµuµu®É¶¡¤º¤@¦A¥X²{¤jÂàÅܤS¤jÂàÅÜ¡A¦Ó¥B¨ª»r»r¦a¦b¥þÅé¥xÆW°ê¤H­±«e·hºt¡A®M¥y§º¦Ñ¥ý¥Íªº½|µü¡G¤£¾¦¡I(2003.07.03)

¡´ ³s¾Ô¾á¥ô°ÆÁ`²Î­Ý»Õ´}®Éªº¤U¬y¤â¶Õ

¤U¹Ï³sµ²ªº¬O1996¦~°Ó·~©P¥Z¤@­Ó±MÃDªº´v­¶¡A·í®Éªº¹ù¥¿»¨¥¿¦b«H»}¥¹¥¹­n¿ì¥î¿A¤¸¡B¼B¬±°¶¤§»Ú¡A¥»³ø¨ÃµL¥L·N¡A¥u¬O­n§â¥L¯d¦s·í¸ê®Æ¦Ó¤w¡C¡]©ñ¤j¹Ï¡^

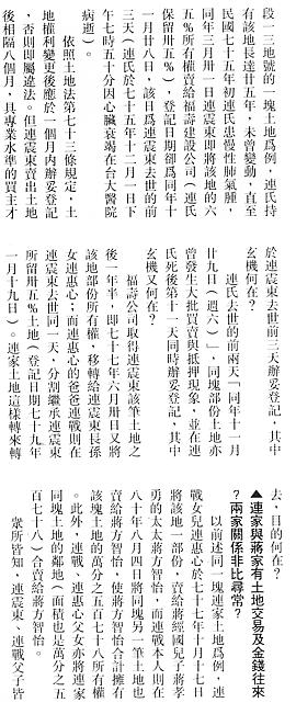
³zµø³s®a°]´I¤C¤jºÃÂI

¢°  ¢±  ¢²  ¢³  ¢´  ¢µ

¡i¦^¤W­¶¡j